Go through the following scenario and answer the THREE questions that follow.
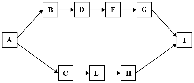
To prepare a dish (e.g., Dosa- Sambhar, Idli-chutney, Rajma-Chawal, Mawa-Bati), the chef has to finish nine activities, some of which could be done simultaneously, while others could not be done simultaneously (see diagram). One of the challenges faced by the chef was to precisely calculate the preparation time of a dish and communicate the waiting time to the customers.
However, based on the past data, the chef had an idea about approximate time taken to complete each activity. He had noted down the best (optimistic), worst (pessimistic) and most likely (most commonly observed) time to finish each of the nine activities. Further, the chef realised that frequency of occurrence of most likely time was 66.666%, and the frequency of occurrence of pessimistic and optimistic times were 16.666% each. The diagram below shows the activities involved and the table shows the optimistic, pessimistic, and most likely times for each activity. Time is indicated in minutes in the table below.


Customer dissatisfaction is the difference of actual waiting time (AWT) and expected waiting time (EWT). AWT is the actual time spent by customer before being served the dish. EWT of the customer is the time communicated by the chef.
What is the minimum waiting time (EWT) that the chef should communicate to minimise customer dissatisfaction?
Select an option to reveal the answer and explanation
Practice the full paper
Attempt XAT 2023 Question Paper with real exam interface and instant grading.