CatMate
CATXATMock TestsAnalytics
HomeCAT PYQsCAT 2023 Slot 3 Question PaperHow many times does Team 4 pass through Station E in a…
CAT 2023 · Slot 3Data Interpretation & LRSchedulingMEDIUM+3 / −1TITA
Passage

Comprehension:
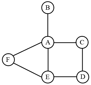
A, B, C, D, E and F are the six police stations in an area, which are connected by streets as shown below. Four teams - Team 1, Team 2, Team 3 and Team 4 - patrol these streets continuously between 09:00 hrs. and 12:00 hrs. each day.

The teams need 30 minutes to cross a street connecting one police station to another. All four teams start from Station A at 09:00 hrs. and must return to Station A by 12:00 hrs. They can
also pass via Station A at any point on their journeys.
The following facts are known.
1. None of the streets has more than one team traveling along it in any direction at any point in time.
2. Teams 2 and 3 are the only ones in stations E and D respectively at 10:00 hrs.
3. Teams 1 and 3 are the only ones in station E at 10:30 hrs.
4. Teams 1 and 4 are the only ones in stations B and E respectively at 11:30 hrs.
5. Team 1 and Team 4 are the only teams that patrol the street connecting stations A and E.
6. Team 4 never passes through Stations B, D or F.

How many times does Team 4 pass through Station E in a day?

Practice the full paper

Attempt CAT 2023 Slot 3 Question Paper with real exam interface and instant grading.

View Paper →
CatMate

CAT & XAT prep made focused.

Build exam-ready momentum with realistic mocks, safe auto-save, and analytics that surface exactly what to fix next.

Practice

  • CAT Sectional Tests
  • XAT Sectional Tests
  • CAT Previous Year Papers
  • XAT Previous Year Papers

Prepare

  • XAT Preparation
  • Analytics
  • Profile
  • About

Legal

  • Privacy Policy
  • Terms of Use
© 2026 CatMate. All rights reserved.
Made in India